Kruskal-Wallis
Se tiene en cuenta una forma de proceder no paramétrica cuando no se cumple el supuesto de normalidad y el tamaño muestral es pequeño, o cuando se trata de variables dependientes de tipo Likert, o sumas de los ítems ordinales de una componente o dimensión. La Prueba de Kruskal-Wallis es el equivalente no paramétrico por tanto a la Tabla ANOVA, en lugar de hacer una comparativa de medias en los 3 o más grupos del factor o variable explicativa, se lleva a cabo una comparativa de medianas o rangos promedio.
Una vez se depuran los datos eliminando los outliers (casos atípicos) a través de los resultados gráficos del Diagrama de Cajas y Bigotes o Box-Plot, se procede a llevar a cabo el Test de Normalidad para determinar si se procede desde un punto de vista paramétrico, de cara a comprobar si los ingresos de la unidad familiar (variable de respuesta) es el mismo en función de la ubicación geográfica de la zona de residencia (variable explicativa o factor).
En el caso de tratarse de una variable dependiente de tipo ordinal (Likert), o de violarse gravemente el supuesto previo de que los datos se distribuyen de manera normal, esto es, se rechaza la hipótesis nula si el p-valor asociado al estadístico de contraste de Kolmogorov-Smirnov-Lilliefors, el más conveniente con tamaños muestrales superiores a 50 casos, es inferior al 5% (0,05).
Prueba H no paramétrica de Kruskal-Wallis
Ho: La distribución de los rangos es igual en todos los grupos
H1: Existen diferencias en las distribuciones de los rangos entre, al menos, dos grupos
Algunos autores consideran estas hipótesis a partir de un contraste de comparativa de Medianas en lugar de rangos medios, como lo hace el paquete estadístico SPSS.
Las salidas de SPSS muestran el Test estadísticamente significativo (esto es, probabilidad asociada menor de 0,05), se puede concluir con que existen diferencias en la distribución de los rangos en al menos dos grupos (o lo que es lo mismo, diferencias en mediana), trabajando siempre con un 95% de confianza, a no ser que se fije otro nivel para la investigación.
Pruebas POST HOC de comparaciones múltiples
Algunos/as estadísticos/as aconsejan realizar las comparaciones a través del Test de la U de Mann‐Whitney entre pares de grupos, equivalente no paramétrico a la T de Student de muestras independientes cuando no se cumple el supuesto de normalidad de los datos.
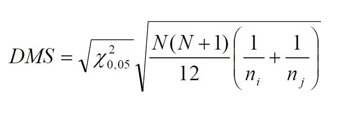
Otra manera de actuar es la partir de la prueba de Scheffé, muy utilizada en las pruebas Post Hoc de comparaciones múltiples entre pares de medias, después de que la Tabla ANOVA resulte estadísticamente significativa, es decir, su p-valor asociado a la prueba F menor del 5% (0,05):
Se lleva a cabo una comparación del DMS con la diferencia de medias de rangos, entre los diferentes niveles o tratamientos. La diferencia resulta estadísticamente significativa si es mayor en valor absoluto que el DMS.
Foto de Fondo creado por jcomp – www.freepik.es
