Cálculo del IPC (Índice de Precios al Consumo). Números Índice
Un número índice es el cociente entre una magnitud de carácter económico en un periodo de tiempo que se toma como base (periodo t), respecto a un periodo de referencia (periodo 0). El IPC es un número índice que se utiliza en Estadística Económica, en el que se valoran los precios de un determinado conjunto de bienes y servicios fundamentales (conocido como ‘cesta de la compra’), basándose en la encuesta continua de presupuestos familiares, que una muestra de consumidores adquiere de manera regular, y la variación con respecto del precio de cada uno, respecto de una muestra anterior. Se trata de un porcentaje, expresado en tanto por uno o en su equivalente tanto por cien (%), en la mayor parte de los casos positivo (lo que indica un incremento de los precios), salvo en caso de recesión importante (lo cual refleja una caída de los precios al consumo). En los último años, quizá por la persistencia del periodo de crisis, el incremento del IPC apenas ha sido perceptible. En América es más conocido como INPC, en la Unión Europea, IPCA (EuroStats). De manera automática, se puede calcular a través del website del INE (Instituto Nacional de Estadística):
Índice del Artículo
Cómo encontrar valores del IPC por años o meses en web del INE
Deflactor del SMI
Cómo pasar de € corrientes a € constantes a través de un periodo (año) para el cambio de base. Puede servir para el cálculo de la pérdida de poder adquisitivo de un año para otro, a través del aumento del IPC, es decir, 1000€ del 2021 son 1000€ del 2020, divididos por el correspondiente IPC del año.
Índices Complejos de Precios
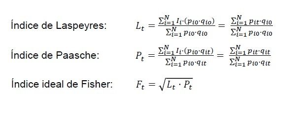
Para comparar la evolución de los precios de varios productos diferentes en función de las cantidades demandas de los mismos. Los Pi0 son los precios en el año que se toma como base (referencia), Qi0 son las cantidades en el año base, Pit los precios del año de referencia t y Qit las cantidades en ese mismo año referencia. Con funciones de Excel como las de las capturas inferiores, se pueden calcular los indices complejos de precios ponderados y los no ponderados de Laspeyres, Paasche y Fisher (los más utilizados), se calculan las sumatorias por columna, y se lleva a cabo el cociente de las 2 sumas para obtener el índice complejo, como en la fórmula:
Tasas de Variación
La tasa de variación es una medición porcentual frecuentemente empleada para estudiar los incrementos o disminuciones que experimenta una magnitud económica en unos determinados periodos de tiempo:
